
Выбрать смазку для двигателя своего автомобиля несложно, если выяснить, что представляет собой вязкость моторного масла и некоторые иные его параметры. Разобраться в данном вопросе может любой водитель.
Вязкость масла – что это?
Содержание статьи:
Данная жидкость выполняет несколько важных задач, обеспечивающих работоспособность двигателя: удаление продуктов износа, обеспечение оптимального показателя герметичности цилиндров, смазка сопряженных элементов. Учитывая, что температурный диапазон функционирования силовых агрегатов современных транспортных средств достаточно широк, производителям сложно изготовить «идеальный» состав для мотора.
Зато они могут выпускать такие масла, которые помогают добиваться оптимального КПД двигателя, обеспечивая при этом его незначительный эксплуатационный износ. Важнейшим показателем любого моторного масла является класс его вязкости, который обуславливает способность состава сохранять свою текучесть, оставаясь на поверхности узлов силового агрегата. То есть достаточно знать, какой вязкости лить моторное масло в ДВС, и уже не беспокоиться о нормальной его работе.
Динамическая и кинематическая вязкость моторного масла
Американский Союз автомобильных инженеров SAE создал понятную систему, которая устанавливает классы вязкости моторных масел. Она учитывает два вида вязкости – кинематическую и динамическую. Первая измеряется в капилляр-вискозиметрах или (что отмечается чаще) в сантистоксах.

Кинематическая вязкость описывает показатели его текучести при высоких и нормальных температурах (100 и 40 градусов по Цельсию, соответственно). А вот динамическая вязкость, которую также называют абсолютной, обозначает силу сопротивления, образующуюся при движении двух, отдаленных друг от друга на 1 сантиметр слоев жидкости со скоростью 1 см/с. Площадь каждого слоя устанавливается равной 1 см. Замеряют ее вискозиметрами ротационного типа.

Как определить вязкость моторного масла по стандарту SAE?
Данная система не устанавливает качественные параметры смазки. Другими словами, индекс вязкости моторного масла не способен дать автомобилисту четких сведений о том, какую конкретно жидкость ему лучше всего заливать в двигатель своего «железного коня». Зато цифро-буквенная либо цифровая маркировка состава по SAE описывает температуру воздуха, когда можно эксплуатировать масло, и сезонность его применения.
Расшифровка вязкости моторного масла по SAE не представляет труда. Всесезонные смазки маркируются следующим образом – SAE 0W–20, где:
- число 20 является показателем высокотемпературной вязкости состава;
- английская литера W «дает разрешение» на применение масла в зимний период;
- цифра 0 определяет самое малое значение температуры, при которой допускается заводить двигатель до -40 °С.

Классификация моторных масел по вязкости для сезонных составов еще более проста. Летние имеют вид SAE 50, зимние – SAE 20W.
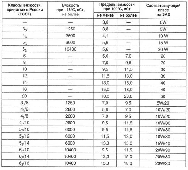
На практике класс SAE выбирается на основании того, какой средний зимний температурный режим характерен для пояса, где используется транспортное средство. Российские водители обычно выбирают продукцию с индексом 10W–40, так как она оптимальна для эксплуатации при температуре до -25 градусов. А максимально подробную информацию о соответствии отечественных групп вязкости и международных классов содержит таблица вязкости масел моторных. Найти в интернете ее совсем нетрудно.

Кроме описанной классификации масел по вязкости используется их разделение по индексам ACEA и API. Они характеризуют моторные смазки по качеству, но об этом мы поговорим в другом материале, посвященном вязкости смазок для двигателей авто.